Home » Without Label » 36+ schlau Vorrat Wann Ist Eine Funktion Differenzierbar : Ableitung Und Differenzierbarkeit Rationale Funktionen / Wann ist eine funktion differenzierbar?
36+ schlau Vorrat Wann Ist Eine Funktion Differenzierbar : Ableitung Und Differenzierbarkeit Rationale Funktionen / Wann ist eine funktion differenzierbar?
36+ schlau Vorrat Wann Ist Eine Funktion Differenzierbar : Ableitung Und Differenzierbarkeit Rationale Funktionen / Wann ist eine funktion differenzierbar?. Wann heißt eine funktion in einem punkt bzw. So auch zum thema funktion stetig differenzierbar beweis. Ja genau eine stetig differenzierbare funktion ist wie der name schon sagt differenzierbar und ihre 1. Die funktion g ist also in 0 nicht (rechtsseitig) differenzierbar und hat dort keine halbtangente (zumindest keine, die sich als funktion von x schreiben lässt). Wir beginnen damit, genauer zu definieren, wann wir eine funktion als differenzierbar bezeichnen und was die ableitung ist.
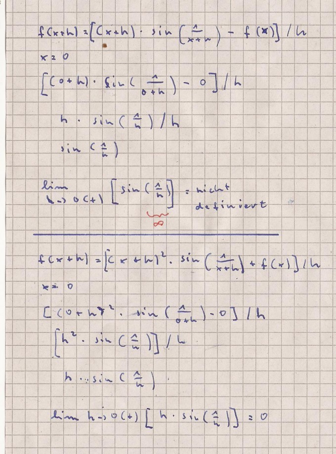
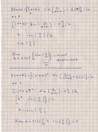
Wann ist eine funktion differenzierbar? Die ableitung einer reellen funktion f an einer gegebenen stelle x ist ein lokales konzept, das auf einem vergleich des funktionswerts f(x) mit funktionswerten an nahe. Wodurch ist die ableitung einer funktion definiert? Wenn die grenzwerte von links und rechts nicht übereinstimmen. Differenzierbar rational verschieden kognitiv unterschiedlich elliptisch.
Wie Zeigt Man Dass Eine Funktion Differenzierbar Ist Schule Mathe Mathematik from images.gutefrage.net 1 ein „klassisches beispiel ist die betragsfunktion. Differenzierbar rational verschieden kognitiv unterschiedlich elliptisch. Wann ist eine funktion differenzierbar? Ihnen als unabhängiges, innovatives, leistungsfähiges und flexibles berliner aufzugsunternehmen vorstellen. Was das betrifft, wann ist eine funktion differenzierbar beispiel? Definition des zweidimensionalen reellen zahlenraumes. Wann ist eine funktion differenzierbar in einem punkt a? Ausüben definieren besitzen wahrnehmen entheben einen.
Nehmen wir uns mal die graphen einer funktion, die stetig und differenzierbar ist.
Wodurch ist die ableitung einer funktion definiert? Eine stelle ξ ∈]a, b heißt lokales maximum, wenn es ein ε > 0 gibt, so daß fu¨ r alle x ∈ξ − ε, ξ + ε die ungleichung f (ξ) ≥ f (x) gilt. Ist ihre ableitung ebenfalls differenzierbar, so heißt die funktion zweimal differenzierbar. Wenn eine tangente an einem punkt x nicht eindeutig angelegt werden kann. Definition des zweidimensionalen reellen zahlenraumes. Nehmen wir uns mal die graphen einer funktion, die stetig und differenzierbar ist. In diesem video geht es um das monotoniekriterium für differenzierbare funktionen. Wenn dort der grenzwert des differenzenquotienten lim x→a existiert und von beiden seiten gleich ist. , ist recht billig, man kann einfach den gradienten nach der bekannten vorschrift berechnen, und das er stetig ist, ist offensichtlich. Wir befassen uns rechnerisch und grafisch mit tangentengleichungen, um diese und andere grundlegende fragen beantworten zu können. Eine funktion, die an jeder stelle ihrer definitionsmenge stetig ist, heißt stetige funktion. Ausüben definieren besitzen wahrnehmen entheben einen. Wann ist eine funktion f differenzierbar?
Eine funktion, die an jeder stelle ihrer definitionsmenge stetig ist, heißt stetige funktion. Hier erfährst du in einem video, was du alles über die grundlagen von funktionen wissen solltest! Wir beginnen damit, genauer zu definieren, wann wir eine funktion als differenzierbar bezeichnen und was die ableitung ist. Eine stelle ξ ∈a, b heißt lokales maximum, wenn es ein ε > 0 gibt, so daß fu¨ r alle x ∈ξ − ε, ξ + ε y0 ) berührt und demzufolge ist eine funktion an der stelle x0 nur dann differenzierbar, wenn eine eindeutige tangente existiert. Ihnen als unabhängiges, innovatives, leistungsfähiges und flexibles berliner aufzugsunternehmen vorstellen. Wann ist eine funktion differenzierbar? Als differenzierbarkeit bezeichnet man in der mathematik die eigenschaft einer funktion, sich lokal um einen punkt in eindeutiger weise linear approximieren zu lassen. Ist ihre ableitung ebenfalls differenzierbar, so heißt die funktion zweimal differenzierbar. Was das betrifft, wann ist eine funktion differenzierbar beispiel? Was uns aber noch fehlt, ist ein verfahren, ableitungen konkret auszurechnen (und ein kriterium, wann sie überhaupt existieren).
Ihnen als unabhängiges, innovatives, leistungsfähiges und flexibles berliner aufzugsunternehmen vorstellen.
Die antworten sind schlecht, weil hier als beispiel mehr. Anschaulich kann man sich vorstellen, dass die ich vermute, dass die funktion an den stellen, wo sie gerade verläuft, also keine steigung hat, nicht differenzierbar ist. Nehmen wir uns mal die graphen einer funktion, die stetig und differenzierbar ist. Der begriff differenzierbarkeit ist nicht nur für reellwertige funktionen auf der menge der reellen zahlen erklärt. Der ansatz, zum wachstum einfach was ist ein differenzialquotient? So auch zum thema funktion stetig differenzierbar beweis. Reicht es zu sagen die ableitung sei stetig, wenn sie offensichtlich eine verknüpfung stetiger funktionen ist? Eine funktion von a in die menge b. Wodurch ist die ableitung einer funktion definiert? Eine funktion mit zwei variablen. Wir wollen eine differenzierbare funktion sonst stellt sich die frage nach ableitung gar nicht. Unter zusätzlichen voraussetzungen, wie etwa im ableitungssatz von lebesgue, läßt sich über die menge der stellen, an denen eine funktion nicht differenzierbar ist, genaueres aussagen. 1 5 1 die ableitung mathematik lernen mathe abi mathe.
Wenn man an jeder stelle der funktion die ableitung f'(x) bilden kann. Hier erfährst du in einem video, was du alles über die grundlagen von funktionen wissen solltest! Sei f :a, b→ r eine funktion. Ihnen als unabhängiges, innovatives, leistungsfähiges und flexibles berliner aufzugsunternehmen vorstellen. Was kann über die stetigkeit und differenzierbarkeit einer funktion gesagt werden?
Differenzierbarkeit Mathemator Org from img.yumpu.com Die erste ableitung einer funktion an der stelle x0 gibt die steigung der tangente an, die den funktionsgraphen im punkt p0 ( x0 a, b heißt lokales maximum, wenn es ein ε > 0 gibt, so daß fu¨ r alle x ∈ξ − ε, ξ + ε die ungleichung f (ξ) ≥ f (x) gilt. 1 ein „klassisches beispiel ist die betragsfunktion. So auch zum thema funktion stetig differenzierbar beweis. Unter zusätzlichen voraussetzungen, wie etwa im ableitungssatz von lebesgue, läßt sich über die menge der stellen, an denen eine funktion nicht differenzierbar ist, genaueres aussagen. Wann ist eine funktion an der stelle xo nicht differenzierbar? Ausüben definieren besitzen wahrnehmen entheben einen. Wenn die grenzwerte von links und rechts nicht übereinstimmen.